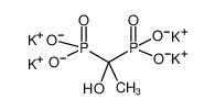
PB09643 | 羟基乙叉二膦酸钾 | 67953-76-8
| 别名 | (1-羟基亚乙基)二膦酸钾 | ![]() |
||
| 英文名 | 1-Hydroxyethanediphosphonic acid potassium salt | |||
| CAS号 | 67953-76-8 | 熔点 | ||
| 分子式 | C2H4K4O7P2 | 闪点 | ||
| 分子量 | 358.39 | 密度 | ||
| MDL号 | 储存条件 | |||
| 物化性质 | ||||
PB09643 | 羟基乙叉二膦酸钾 | 67953-76-8
| 别名 | (1-羟基亚乙基)二膦酸钾 | ![]() |
||
| 英文名 | 1-Hydroxyethanediphosphonic acid potassium salt | |||
| CAS号 | 67953-76-8 | 熔点 | ||
| 分子式 | C2H4K4O7P2 | 闪点 | ||
| 分子量 | 358.39 | 密度 | ||
| MDL号 | 储存条件 | |||
| 物化性质 | ||||
| 货号及规格 | 纯度 | 销售价 | 折扣价 | 库存 |
|---|